http://dx.doi.org/10.24016/2017.v3n1.46
CARTA AL EDITOR
Magnitud del efecto en análisis de regresión
Effect size in regression analysis
Sergio Alexis Dominguez-Lara1 *
1 Universidad de San Martín de Porres, Perú.
* Dirección de correspondencia: Instituto de Investigación de Psicología, Universidad de San Martín de Porres, Av. Tomás Marsano 242 (5to piso), Lima 34 – Perú; Teléfono: 0051988053909. Correo: sdominguezmpcs@gmail.com
Recibido: 16 de enero de 2017.
Revisado: 25 de enero de 2017.
Aceptado: 29 de enero de 2017.
Publicado Online: 07 de marzo de 2017.
COMO CITARLO
Dominguez-Lara, S. (2017). Magnitud del efecto en análisis de regresión. Interacciones, 3(1), 3-5. http://dx.doi.org/10.24016/2017.v3n1.46
Sr. Editor
Cuando los investigadores implementan el análisis de regresión, normalmente reportan si la influencia conjunta de los predictores sobre la variable dependiente es estadísticamente significativa o no utilizando información del análisis de varianza (ANOVA) realizado considerando si el p-valor asociado al estadístico F es menor que α (.05). Posteriormente cada predictor es evaluado a fin de discernir cuáles influyen de forma estadísticamente significativa.
Sin embargo, estas conclusiones parecen ser parciales, ya que aunque exista influencia conjunta estadísticamente significativa de los predictores, no se informa el grado de influencia. Es decir, es posible que la influencia sea tan pequeña que no ameritaría una interpretación sustantiva.
A fin de lograr una mejor interpretación de los resultados, se ha pensado en una medida de magnitud del efecto (ME), R-cuadrado (R2), que informa sobre el grado de influencia cuantificando el porcentaje de varianza de la variable dependiente que es explicada por los predictores (Ferguson, 2009). En otros términos, mientras mayor variabilidad de la variable dependiente atribuida a los predictores, mayores son las posibilidades de interpretar teóricamente los hallazgos. Se han establecido algunos puntos de corte para calificarla: .02, .13 y .26, para pequeño, mediano, y grandE, respectivamente (Ellis, 2010). Esto quiere decir que, por ejemplo, una R2 < .02 carecería de valor para ser interpretada.
En los dos últimos números de Interacciones el procedimiento es utilizado en tres manuscritos, pero solo en uno de ellos se reporta el R2 como ME (Samaniego, & Buenahora, 2016), mientras que en los otros dos figura entre los resultados pero no se interpreta como ME (Arias, Infantes, & Caballos, 2016; Bellido et al., 2016).
Considerando los datos la tabla 4 de Bellido et al., podría concluirse que todos los R2, entendidas como medias de ME, pueden ser valoradas entre medianas y grande para Conductas agresivas (.29, .34, .20); y mediana para Victimización (.15) y Conducta prosocial (.21). Por su parte, Arias et al. (2016) reporta un R2= .409 (grande). Cabe resaltar que en ambos casos se están considerando predictores no significativos de forma independiente. Finalmente, Samaniego, y Buenahora reportan un R2= .409 (grande). En los dos últimos casos, se ha considerado el R2 -corregido obtenido directamente de los manuscritos.
No obstante, se está dejando de lado un componente fundamental: el error inherente a la muestra. Por tal motivo, es necesario considerar las potenciales fluctuaciones que podrían existir, y en ese caso los intervalos de confianza (IC) son una buena opción para reflejar dicha variabilidad. De la misma forma que otros estadísticos (p.e., Dominguez-Lara, & Merino-Soto, 2015; Merino, & Livia, 2009), es recomendable considerar el límite inferior del IC como referente para valorar la magnitud de la medida obtenida. En otras palabras, si el mínimo valor que podría asumir el R2 encontrado (límite inferior del IC) es mayor que el valor mínimo exigido para su interpretación (en este caso, R2= .02), sería posible interpretarlo.
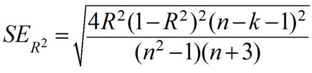
De este modo, se hace uso de la expresión matemática brindada por Cohen y colaboradores (Cohen, Cohen, West, & Aiken, 2003) para calcular el error estándar de R2 (EE), necesario para el cálculo de los IC. Cabe resaltar que solo puede ser utilizado cuando se dispone de más de 60 sujetos.

Donde n es el tamaño muestral, y k es el número de predictores. Con ese dato, puede hallarse fácilmente los IC al 95%: Para el límite superior, R2 + 2EE; y para el límite inferior, R2 – 2EE.

Como puede apreciarse en la tabla 1, existen algunas diferencias de resultados con y sin la implementación de los IC. Por ejemplo, la valoración inicial del R2 de Victimización fue Mediana, pero ahora al ser el límite inferior menor que .13, podría considerarse como Pequeña. Cabe resaltar que todos los demás mantienen su categorización inicial. Ante ello, es posible entonces que aunque puedan hallarse R2 meritorios (.02 < R2 < .13), al calcularse sus IC el límite inferior ser menor que .02 y, por lo tanto, no sea recomendable una interpretación sustantiva.
Queda claro entonces usar medidas de ME brinda más información que el contraste de hipótesis clásico (retener/rechaza la hipótesis nula) (Ferguson, 2009) y así se contribuiría significativamente al avance del conocimiento. No obstante, es necesario implementar adicionalmente los IC para evaluar de forma más realista los resultados obtenidos y no brindar falsos positivos.
Para finalizar, está disponible para el lector un módulo en MS Excel para el cálculo de los IC para R2 y enviando un correo al autor del trabajo.
CONFLICTO DE INTERESES
El autor expresa que no hay conflictos de interés al redactar el manuscrito.
REFERENCIAS
Arias, W., Infantes, A. y Caballos, K. (2016). Personalidad, inteligencia emocional y estilos de afrontamiento en los conciliadores de la ciudad de Arequipa. Interacciones, 2(1), 21-32.
Bellido, F., Rivera, R., Salas, J., Bellido, V., Peña, N., Villasante, G., & Casapía, Y. (2016). Influencia de los pares en la manifestación del bullying en estudiantes de secundaria en Arequipa Metropolitana. Interacciones, 2(1), 33-42.
Cohen, J., Cohen, P., West, S.G., & Aiken, L.S. (2003). Applied multiple regression/correlation analysis for the behavioral sciences (3rd Ed.). Mahwah, NY: Erlbaum.
Dominguez-Lara, S., & Merino-Soto, C. (2015) ¿Por qué es importante reportar los intervalos de confianza del coeficiente alfa de Cronbach? Revista Latinoamericana de Ciencias Sociales, Niñez y Juventud, 13(2), 1326-1328.
Ellis, P. (2010). The essential guide to effect sizes: Statistical power, meta-analysis, and the interpretation of research results. Cambridge, UK: Cambridge University Press.
Ferguson, C. J. (2009). An effect size primer: A guide for clinicians and researchers. Professional Psychology: Research and Practice, 40(5), 532 -538.
Merino, C., y Livia, J. (2009). Intervalos de confianza asimétricos para el índice de validez de contenido: un programa Visual Basic para la V de Aiken. Psicothema, 25(1), 169-171.
Samaniego, A., & Buenahora, M. (2016). Variables relacionadas con ansiedad social en adolescentes: un modelo de regresión lineal múltiple. Interacciones, 2(2), 109-122